Страница 96

№1. Найди и объясни ошибки в вычислениях, запиши правильное решение.

№2. Вычисли и сделай проверку.

№3. Вычисли и проверь вычитанием.

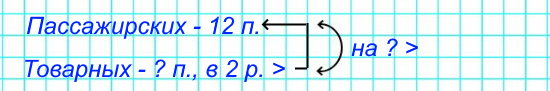
№4. За день мимо станции прошло 12 пассажирских поездов, а товарных – в 2 раза больше. На сколько больше прошло товарных поездов, чем пассажирских?

1) 12 ∙ 2 = 24 (п.) – товарных.
2) 24 – 12 = 12 (п.)
Ответ: на 12 больше товарных поездов, чем пассажирских.
№5. На одной машине привезли 200 ящиков слив, а на другой – на 50 ящиков больше. Сколько килограммов слив привезли на каждой машине, если в каждом ящике по 4 кг слив?

№6.

№7. Какое число делится без остатка только на 1 и на 7? Запиши его.
7
№8. Назови хотя бы одно двузначное число, которое делится без остатка на все данные числа: 2, 3, 5, 10.
30
НАЧЕРТИ
И РАСКРАСЬ:

Поделитесь ответами с друзьями
Подпишитесь на нашу группу вк!